前言
2026年美国临床肿瘤学会泌尿生殖系统肿瘤研讨会(ASCO GU)于近日在旧金山如期举办,本次大会汇集了前列腺癌领域最具变革性的临床研究进展。在转移性激素敏感性前列腺癌(mHSPC)治疗领域,随着对肿瘤生物学行为理解的不断深入,精准医学策略正从幕后走向台前。其中,PTEN缺陷作为前列腺癌最常见的基因组变异之一,其临床意义和治疗靶向价值日益凸显。
CAPItello-281研究是一项评估卡匹色替联合阿比特龙治疗PTEN缺陷mHSPC患者的全球多中心Ⅲ期临床试验。该研究既往已证实,对于PTEN缺陷的新发mHSPC患者,与安慰剂联合阿比特龙相比,卡匹色替联合阿比特龙显著改善了放射学无进展生存期(rPFS)(HR 0.81;95% CI 0.66, 0.98;P=0.034),中位rPFS延长达7.5个月(33.2个月vs 25.7个月)[1]。本次ASCO GU大会上,CAPItello-281研究(Abs14)进一步报告了患者报告的结局(PRO)和耐受性数据,为临床实践中平衡疗效与生活质量提供了重要依据。值此盛会之际,医脉通特邀湖南省肿瘤医院蒋书算教授对研究数据进行深度解读,探讨PTEN检测的临床价值及mHSPC精准治疗模式的未来走向。
2026 ASCO GU重磅发布:CAPItello-281研究PRO及耐受性数据详细解析[2]
本次大会公布的PRO及耐受性分析数据,均基于CAPItello-281研究的核心试验设计。研究纳入经中心实验室免疫组织化学(IHC)确认为PTEN缺陷的mHSPC患者,纳入患者按1:1的比例随机分为两组,试验组接受卡匹色替联合阿比特龙+泼尼松/泼尼松龙以及雄激素剥夺治疗(capi+abi),对照组接受安慰剂联合阿比特龙+泼尼松/泼尼松龙以及雄激素剥夺治疗(pbo+abi),两组患者均持续治疗至疾病进展、出现不可耐受的不良事件或患者自行退出研究。研究采用癌症治疗功能评定量表—前列腺(FACT–P)问卷,动态评估患者的健康相关生活质量(HRQoL)。其中有临床意义的改变阈值设定为:FACT-P总分变化≥10分,FACT-P生理状况(PWB)和功能状况(FWB)子量表评分变化≥3分。同时,对与AKT抑制剂相关的常见不良事件(AEs)进行了描述性总结。
本次分析共纳入1012名随机分配的患者,其中试验组(capi+abi)507名,对照组(pbo+abi)505名,两组中分别有503名患者接受了至少一次治疗,治疗依从性整体良好。从治疗持续时间来看,capi+abi组和pbo+abi组的中位(范围)总治疗持续时间分别为13.6(0.1–46.6)个月和14.9(0.1–47.1)个月;截至数据截止日期,capi或pbo治疗仍在进行中的患者比例分别为47.5%和53.5%,提示两组患者均能较好地耐受长期治疗。两组患者的FACT-P问卷完成率相当,capi+abi组为65.3%,pbo+abi组为64.4%。
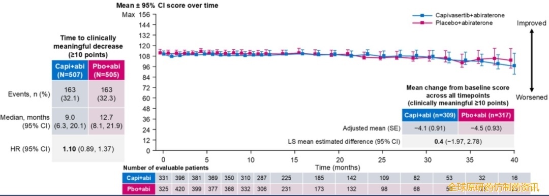
两组之间在FACT-P总评分自基线的最小二乘平均变化方面,未观察到有临床意义的差异(组间差异0.4;95% CI –1.97至2.78)。同样,PWB亚表(–0.4;95% CI –0.89至0.14)和FWB亚表(–0.3;95% CI –1.01至0.37)的变化也无临床意义差异。这一结果表明,尽管联合治疗组面临更多症状性AE,但患者的总体HRQoL并未受到显著影响。

图1. FACT-P总分(FACT-P总分涵盖躯体健康、功能健康、情感健康,以及前列腺癌特异性症状)

图2. PWB亚表(PWB涵盖不良反应、体力、恶心及疼痛等结局指标)

图3. FWB量表(FWB涵盖工作能力、睡眠质量及享受生活的能力等结局指标)
在恶化时间(TTD)分析中,capi+abi组的PWB恶化时间更快(7.2个月vs. 14.6个月;HR=1.43;95% CI:1.15-1.78),这与该组症状性AE发生率较高相一致。然而,FACT-P总评分和FWB的TTD在两组间未见差异(HR分别为1.10和1.06),提示尽管患者在生理感受层面经历了一定程度的短期不适,但并未显著转化为对工作、睡眠等日常生活功能的实质性影响,也未改变总体HRQoL的恶化轨迹。

图4. PWB亚表出现具有临床意义下降的时间
安全性分析显示,capi+abi组最常见的与AKT抑制相关的常见AE包括腹泻、皮疹、高血糖。capi+abi组AE发生时间较早,但整体临床可控,通过对症处理、剂量调整或短暂停药后,多数患者可恢复并继续接受治疗(见表1)。
表1. capi+abi组与pbo+abi组常见不良事件对比

CAPItello-281研究的PRO和安全性数据为临床实践提供了重要补充。常见capi相关AEs发生较早,但临床可控,通过积极的支持治疗和剂量调整,capi+abi组分别从皮疹、腹泻、高血糖AE中,已恢复/正在恢复的患者比例为分别为32.6%、47.3%和27.8%。尽管capi+abi组患者因更多症状性AEs(如腹泻、皮疹)经历了更快的自我报告PWB下降,但这并未波及生活的其他功能维度(如工作、睡眠)和总体HRQoL,从而确保了联合治疗的可持续性。
专家点评
蒋书算教授
PTEN IHC检测赋能mHSPC精准治疗,卡匹色替重塑mHSPC临床治疗模式
PTEN是人体重要的抑癌基因,其编码的蛋白通过负向调控PI3K/AKT信号通路在细胞增殖、存活和代谢中发挥关键作用。PTEN功能缺陷导致PI3K/AKT通路持续激活,为肿瘤细胞提供独立的增殖驱动信号。前列腺中PTEN缺陷的发生率随疾病进展呈现明显的阶梯式上升趋势,流行病学数据显示,在mHSPC患者中,约25%存在PTEN蛋白缺陷[1]。在转移性去势抵抗性前列腺癌(mCRPC)阶段,PTEN功能缺陷的比例进一步升高,估计可达40%-50%[3]。
PTEN缺陷的预后价值已被多项研究证实。在mCRPC患者中,PTEN功能缺陷与总生存期缩短显著相关(HR 1.61;P=0.024)[3]。在接受根治性前列腺切除术的患者中,PTEN表达与生化复发呈显著负相关(r=-0.301),提示PTEN表达降低意味着复发风险升高[4]。在mHSPC阶段,尽管ARPI联合雄激素剥夺治疗已成为标准治疗,但对于PTEN缺陷的患者,PI3K/AKT通路激活可独立于AR信号驱动肿瘤进展,单纯强化AR通路抑制难以完全阻断肿瘤生长[1]。长期以来,针对PTEN缺陷mHSPC患者的靶向治疗方案选择有限,临床循证支持不足,此类患者的治疗需求长期处于未被满足的状态,亟需高效、安全的靶向治疗方案来改善其生存预后。
CAPItello-281研究作为一项全球多中心、随机、双盲Ⅲ期临床试验,已在2025年ESMO年会上公布了初步疗效结果,为PTEN缺陷mHSPC患者的精准治疗带来了新希望。该研究初步结果证实,对于PTEN缺陷的新发mHSPC患者,卡匹色替联合阿比特龙相较于安慰剂联合阿比特龙,可显著改善患者的rPFS,降低疾病进展或死亡风险19%(HR 0.81;95% CI 0.66, 0.98;P=0.034)[1],为该类患者的精准治疗提供了高级别循证医学证据。而本次2026 ASCO GU大会上公布的PRO及耐受性数据则进一步表明:该方案虽会导致部分症状性AE,但整体安全可控,且未影响患者总体生活质量,实现了疗效与生活质量的平衡,为患者长期规范治疗提供了有力保障[2]。因此,基于疗效、PRO和安全性数据的综合评估,卡匹色替联合阿比特龙为PTEN缺陷mHSPC患者提供了兼具生存获益和生活质量保障的治疗新选择。
随着CAPItello-281等重磅研究结果的不断公布,mHSPC的治疗已正式迈入“PTEN驱动”的精准分型新时代,而重塑临床诊疗模式、推动全程管理,将成为实现患者最大生存获益的核心任务。一方面,需进一步推动PTEN检测的规范化与普及化,将其纳入mHSPC患者的常规诊疗流程,2025中国临床肿瘤学会(CSCO)[5]、美国国家综合癌症网络(NCCN)[6]等国内外权威前列腺癌诊疗指南也一致明确推荐前列腺癌患者行PTEN检测且推荐采用IHC方式检测。通过精准分层,为不同分子亚型的患者制定个性化治疗方案,避免“一刀切”的治疗模式,让每一位患者都能获得最适合自己的治疗。尤其针对中国医疗资源分布不均的现状,需加强基层医院PTEN检测能力的建设,大力推广操作简便、结果稳定、价格亲民的 IHC 检测技术,让基层前列腺癌患者也能真正享受到精准诊疗带来的福音。
另一方面,需构建“精准检测-精准治疗-动态监测”的全程管理模式,在患者治疗过程中,不仅要关注疗效,还要重视患者的生活质量和治疗耐受性,动态监测PTEN状态、疾病进展情况及不良事件发生情况,及时调整治疗方案和支持治疗措施,避免无效治疗,减少AE的发生,进一步优化患者的治疗体验。同时,还需加强多中心临床研究的开展,尤其是针对中国患者的临床研究,积累更多符合中国国情的循证医学证据,优化治疗方案,探索更多潜在的分子标志物和靶向治疗策略,进一步丰富mHSPC患者的治疗选择,最终推动中国前列腺癌患者整体生存预后的提升,实现“精准赋能、延长生存、改善生活质量”的临床目标。
结语
本次2026 ASCO GU 大会发布的CAPItello-281研究PRO与耐受性数据,为卡匹色替联合阿比特龙方案在PTEN缺陷mHSPC人群中提供了重要补充证据,支持其疗效可靠、耐受性良好、可维持患者生活质量的临床价值,有望成为该类患者的精准治疗新选择。PTEN缺陷作为前列腺癌的关键高危因素,其检测价值已从单纯的预后评估,升级为治疗决策的核心指导,而IHC检测的普及和双通路抑制策略的应用,将为PTEN缺陷mHSPC患者带来新的生存希望。
蒋书算教授
湖南省肿瘤医院 泌尿外科副主任/主任医师,医学博士,硕导 ,美国UC Davis访问学者
中国肿瘤器官保护联盟尿路上皮癌保器官保功能联盟主席
中国抗癌协会中西整合肾癌专业委员会委员
中华医学会泌尿外科分会(CUA)临床研究学组委员
中国医师协会泌尿外科专委会(CUDA)UTUC学组委员
中国抗癌协会泌尿男生殖系肿瘤专业委员会青年委员
湖南省国际医学交流促进会泌尿外科分会主委
湖南省老年医学会前列腺分会主委
湖南省抗癌协会泌尿男生殖系肿瘤专业委员会副主委
湖南省抗癌协会理事
湖南省医学会泌尿外科专业委员会机器人学组委员
中国中药协会男科药物研究专业委员会常务委员
湖南省中医药和中西医结合学会男科专业委员会常务委员
湖南省中医药和中西医结合学会泌尿外科专业委员会青委会副组长
湖南省健康管理学会泌尿系疾病全病程管理专业委员会常委
主攻泌尿生殖系肿瘤的微创治疗及器官功能保护,完成各类泌尿系手术超过10000例
主持一项即保性神经的腹腔镜下根治性膀胱切除及回肠原位新膀胱术新技术,获得 2014-2015年度新技术二等奖并在“湖南日报”上刊登
国内外发表多篇学术文章,其中SCI 20余篇。主持湖南省自然科学基金联合重大课题一项,主持湖南省自然科学基金(面上项目)一项,发明国家级专利一项
湖南省卫健委立功1次,嘉奖3次,中央组织部湖南省2019-2020年度援疆首席专家
主持全球性和全国性大型临床研究140余项,其中多项为Leading PI,多项入组全球或者全国第一
编辑:Rosewei
审校:Kristen
排版:Squid
执行:Lya
本平台旨在为医疗卫生专业人士传递更多医学信息。本平台发布的内容,不能以任何方式取代专业的医疗指导,也不应被视为诊疗建议。如该等信息被用于了解医学信息以外的目的,本平台不承担相关责任。本平台对发布的内容,并不代表同意其描述和观点。若涉及版权问题,烦请权利人与我们联系,我们将尽快处理。
生成海报
长按扫码关注公众号